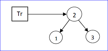
1.10 Tell whether the following tree is:
A) Heap
B) Full and Complete
C) Heap Complete
D) None of the above

July 7, 2021 in C and CPP
1.10 Tell whether the following tree is:
A) Heap
B) Full and Complete
C) Heap Complete
D) None of the above

Explore powerful AI-driven tools for daily guidance, spirituality, fun quizzes, and self-discovery.
Reveal insights about your future, love, and career with AI tarot readings.
Read TarotView daily Panchang, auspicious timings, tithi, nakshatra, and festivals.
View PanchangDiscover your destiny number, life path, and numerology predictions.
Calculate Now